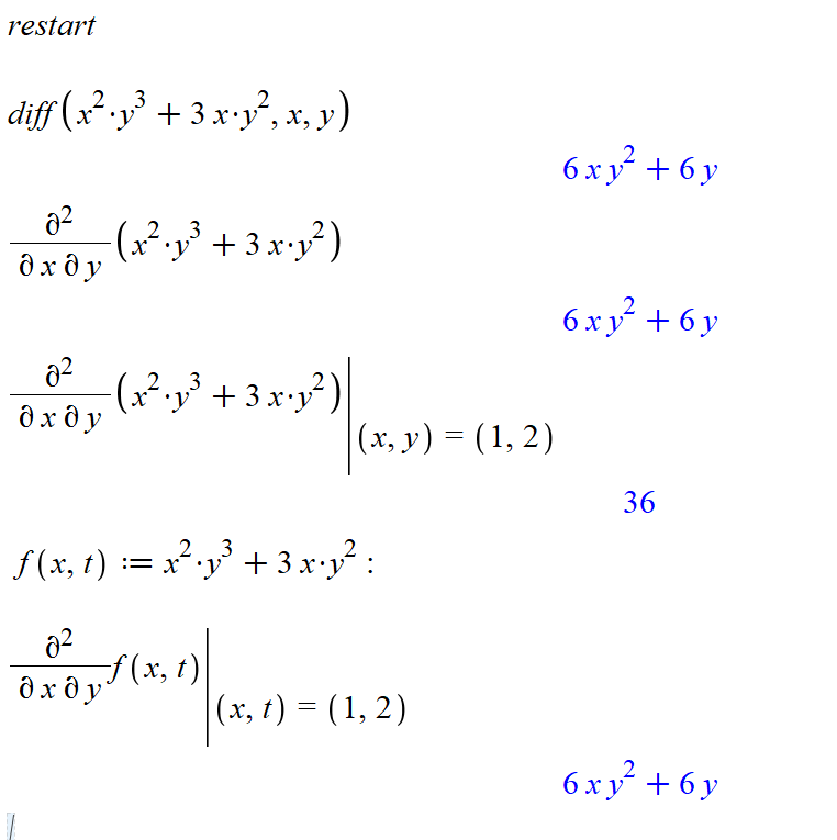
How To Take Derivative In Maple

Computing derivatives using maple.
How to take derivative in maple. This function works in a way similar to that of the function din mathematica. For further information about any command in the calculus1 package see the corresponding help page. Open a new document title it derivatives in maple put your name underneath and skip a few lines. The student calculus1 package contains two routines that can be used to both work with and visualize the concepts of newton quotients and derivatives.
For a general overview see calculus1. V an independent variable a positive integer or a list of positive integers. If the independent variable can be uniquely determined from the expression the parameter x need not be included in the calling sequence. Calculating derivatives with maple.
Maple contains the function diffthat will allow you to differentiate an equation. The first argument to diffis the equation to be differentiated. If the procedure diff f is defined then the function call diff f x y z y will invoke diff f x y z y to compute the derivative. For the love of physics walter lewin may 16 2011 duration.
Calculate the partial derivative with respect to the first variable. Jetcalculus totaldiff take the total derivative of an expression a differential form or a contact form. Totaldiff f v parameters f a maple expression a differential form or a bi form. For each of the following.
Partial derivatives of a multivariate functional expression description calculate the partial derivatives of a multivariate functional expression. If the derivative cannot be expressed if the expression is an undefined function the diff function call itself is returned. Calculating derivatives with maple. The second argument is the variable that the equation should be differentiated with respect to.
The derivativeplot f x x a b command plots the expression and its derivative or derivatives. This worksheet demonstrates this functionality.