AAMOVIEZ.COM
How To Take The Derivative Of Xe X
how to remove door off hinges
how to remove rust from garden tools
how to remove rust from tools naturally
how to remove sim card from huawei p8 lite
how to remove rust from tools fast
how to remove rust off door hinges
how to remove rust from kitchen tools
how to remove sim card huawei p30 pro
Download VPN
The Product Rule Xe X Youtube
Download VPN
Derivative Of Y E X 2 Youtube
Download VPN
How Do You Find The Second Derivative Of F X 3 2x E 3x Socratic
Download VPN
Derivatives Of Power Functions Of E Calculus Reference Electronics Textbook
Download VPN
How Do You Find The Second Derivative Of F X 3 2x E 3x Socratic
Download VPN
Solved Find The Derivative Of The Function F X 2e X Chegg Com
Download VPN
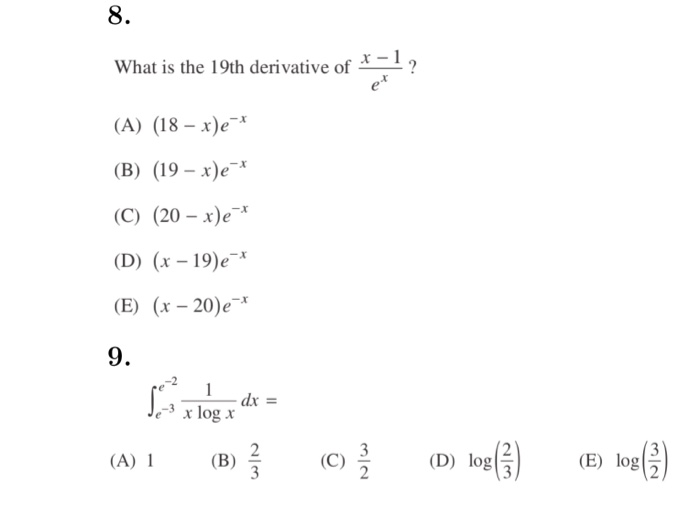
Solved What Is The 19th Derivative Of A 18 Xe X E Chegg Com
Download VPN
The Derivative Of E X And Lnx
Download VPN
Trying To Find The Derivative Of E X E X E X E X Calculus
Download VPN
What Is The Second Derivative If Y Xe X Quora
Download VPN
Solved Find The Derivative Of The Function F X E 1 2x Chegg Com
Download VPN
Ilectureonline
Download VPN
Ilectureonline
Download VPN
Table Of Contents 13 Section 3 5 And 3 6 Higher Derivatives And Trig Functions Ppt Download
Download VPN
Find The Derivative Of Ex E X Ex E X Stumbling Robot
Download VPN
Can You Solve This Differentiation D Dx Xe X Quora
Download VPN
Y Xe X 2 Find The Derivative Of The Function Youtube
Download VPN
The Derivative And Integral Of The Exponential Function
Download VPN
Solved Find The Derivative Y Ex 4 Ln X E X 4 4e X 4 Ln Chegg Com
Download VPN
Derivatives Of Frac Csc X E X And Ln Left Frac 3x 2 Sqrt 3 X 2 Right Mathematics Stack Exchange
Source :
Watch Free Movie
Random Posts
How To Take Apart Xbox One S Power Supply
How To Take Apart Xbox 360 Original
How To Take Apart Xbox Controller
How To Take Apart Xbox One Wireless Controller
How To Take Apart Xbox One Elite Controller 2
How To Take Apart Xbox One Controller Youtube
How To Take Apart Xbox S
How To Take Apart Xbox One X Console
How To Take Apart Xbox One Elite
How To Take Apart Your Xbox One And Clean It
How To Take Apart Xbox One Controller Triggers
How To Take Apart Xbox 1 Remote
How To Take Apart Xbox 360 Power Block
How To Take Apart Xbox One White Controller
How To Take Apart Xbox 1 Console
How To Take Apart Xbox 360 Slim
How To Take Apart Xbox One To Clean It
How To Take Apart Xbox Slim
How To Take Apart Xbox 360 Model 1439
How To Take Apart Xbox 360 To Clean Lens